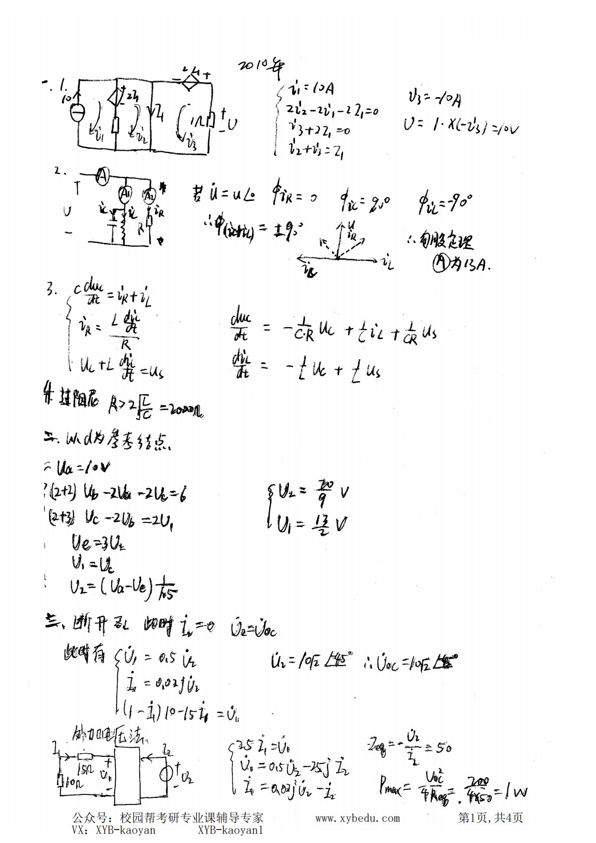
太原理工大学2010年827电路考研真题答案解析
¹«ÖںţºÐ£Ô°°ï¿¼ÑÐרҵ¿Î¸¨µ¼×¨¼ÒVX£ºXYB-kaoyanXYB-kaoyan1www.xybedu.comµÚ1Ò³,¹²4Ò³¹«ÖںţºÐ£Ô°°ï¿¼ÑÐרҵ¿Î¸¨µ¼×¨¼ÒVX£ºXYB-kaoyanXYB-kaoyan1www.xybedu.comµÚ2Ò³,¹²4Ò³¹«ÖںţºÐ£Ô°°ï¿¼ÑÐרҵ¿Î¸¨µ¼×¨¼ÒVX£ºXYB-kaoyanXYB-kaoyan1www.xybedu.comµÚ3Ò³,¹²4Ò³¹«ÖںţºÐ£Ô°°ï¿¼ÑÐרҵ¿Î¸¨µ¼×¨¼ÒVX£ºXYB-kaoyanXYB-kaoy...
相关推荐
-
北京工业大学812材料力学2021年真题VIP专享
2025-12-29 999+ -
北京工业大学812材料力学2022年真题VIP专享
2025-12-29 999+ -
北京工业大学822信息与系统2021年真题答案VIP专享
2025-12-29 999+ -
北京工业大学822信息与系统2022年真题VIP专享
2025-12-29 999+ -
兰州大学803半导体物理(含晶体管原理)大学2017年真题VIP免费
2025-12-31 999+ -
兰州大学803半导体物理(含晶体管原理)大学2018年真题VIP免费
2025-12-31 999+ -
兰州大学803半导体物理(含晶体管原理)大学2019年真题VIP免费
2025-12-31 999+ -
长安大学838材料科学基础课后习题答案VIP免费
2026-01-13 999+ -
清华大学827电路原理2009年真题免费
2026-02-26 999+ -
清华大学827电路原理2009年真题答案免费
2026-02-26 999+
相关内容
-
宁夏大学电路手写版答案
分类:考研考博类
时间:2026-02-26
标签:无
格式:PDF
价格:免费
-
清华大学827电路原理2008年真题
分类:考研考博类
时间:2026-02-26
标签:清华大学
格式:PDF
价格:免费
-
清华大学827电路原理2008年真题答案
分类:考研考博类
时间:2026-02-26
标签:清华大学
格式:PDF
价格:免费
-
清华大学827电路原理2009年真题
分类:考研考博类
时间:2026-02-26
标签:清华大学
格式:PDF
价格:免费
-
清华大学827电路原理2009年真题答案
分类:考研考博类
时间:2026-02-26
标签:清华大学
格式:PDF
价格:免费

