华南师范大学903高等数学综合2019年真题答案
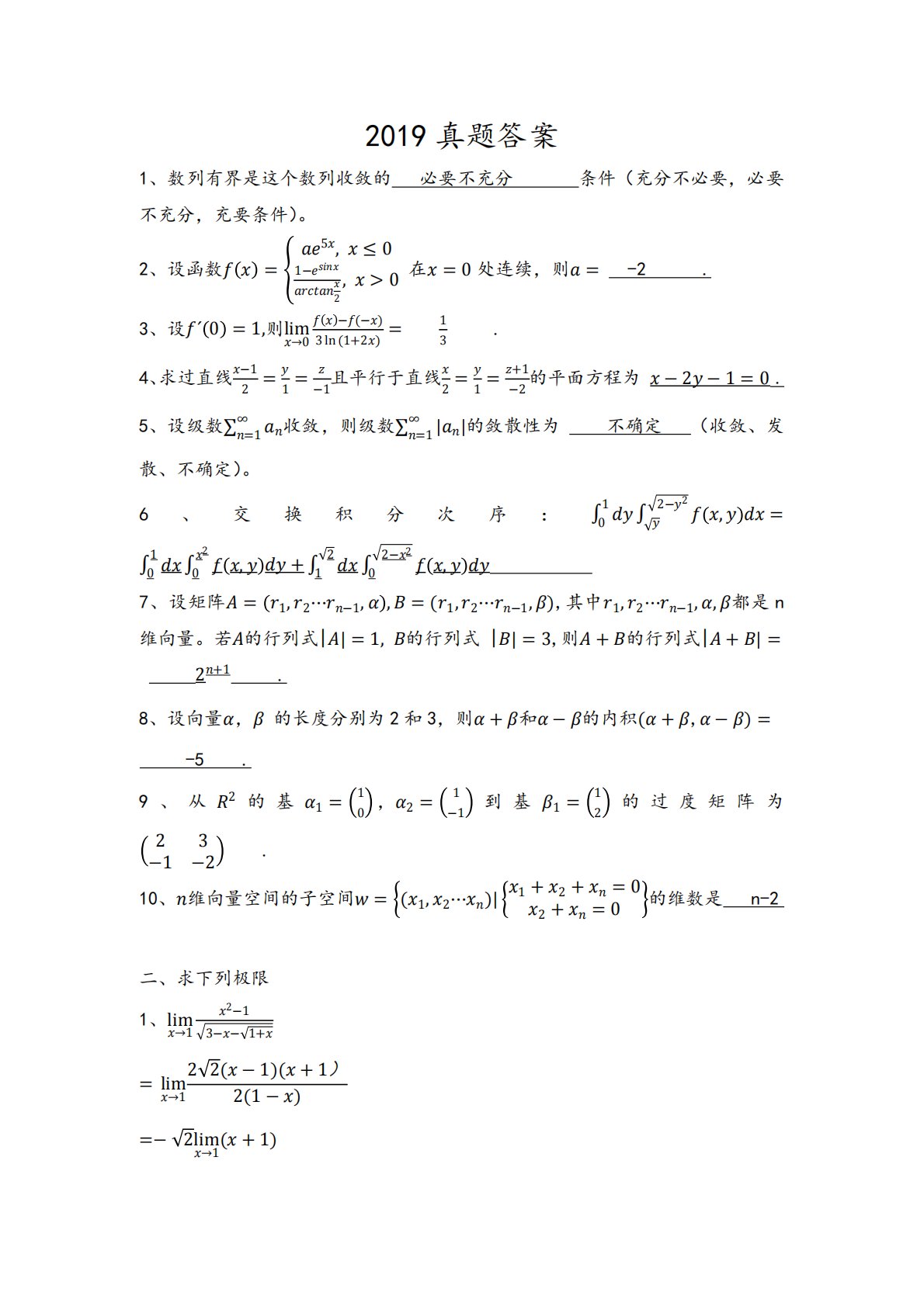
2019真题答案1、数列有界是这个数列收敛的必要不充分条件(充分不必要,必要不充分,充要条件)。2、设函数=5,≤01−2,>0在=0处连续,则=-2.3、设´0=1,则lim→0−(−)3ln(1+2)=13.4、求过直线−12=1=−1且平行于直线2=1=+1−2的平面方程为−2−1=0.5、设级数=1∞收敛,则级数=1∞||的敛散性为不确定(收敛、发散、不确定)。6、交换积分次序:012−2,=0102,+1202−2,7、设矩阵=1,2⋯−1,,=(1,2⋯−1,),其中1,2⋯−1,,都是n维向量。若的行列式||=1,的行列式||=3,则+的行列式|+|=2+1.8、设向量,的长度分...
相关推荐
-
北京工业大学812材料力学2021年真题VIP专享
2025-12-29 999+ -
北京工业大学812材料力学2022年真题VIP专享
2025-12-29 999+ -
北京工业大学822信息与系统2021年真题答案VIP专享
2025-12-29 999+ -
北京工业大学822信息与系统2022年真题VIP专享
2025-12-29 999+ -
兰州大学803半导体物理(含晶体管原理)大学2017年真题VIP免费
2025-12-31 999+ -
兰州大学803半导体物理(含晶体管原理)大学2018年真题VIP免费
2025-12-31 999+ -
兰州大学803半导体物理(含晶体管原理)大学2019年真题VIP免费
2025-12-31 999+ -
长安大学838材料科学基础课后习题答案VIP免费
2026-01-13 999+ -
清华大学827电路原理2009年真题免费
2026-02-26 999+ -
清华大学827电路原理2009年真题答案免费
2026-02-26 999+
相关内容
-
宁夏大学电路手写版答案
分类:考研考博类
时间:2026-02-26
标签:无
格式:PDF
价格:免费
-
清华大学827电路原理2008年真题
分类:考研考博类
时间:2026-02-26
标签:清华大学
格式:PDF
价格:免费
-
清华大学827电路原理2008年真题答案
分类:考研考博类
时间:2026-02-26
标签:清华大学
格式:PDF
价格:免费
-
清华大学827电路原理2009年真题
分类:考研考博类
时间:2026-02-26
标签:清华大学
格式:PDF
价格:免费
-
清华大学827电路原理2009年真题答案
分类:考研考博类
时间:2026-02-26
标签:清华大学
格式:PDF
价格:免费

