301数学一2021年考研初试真题参考答案
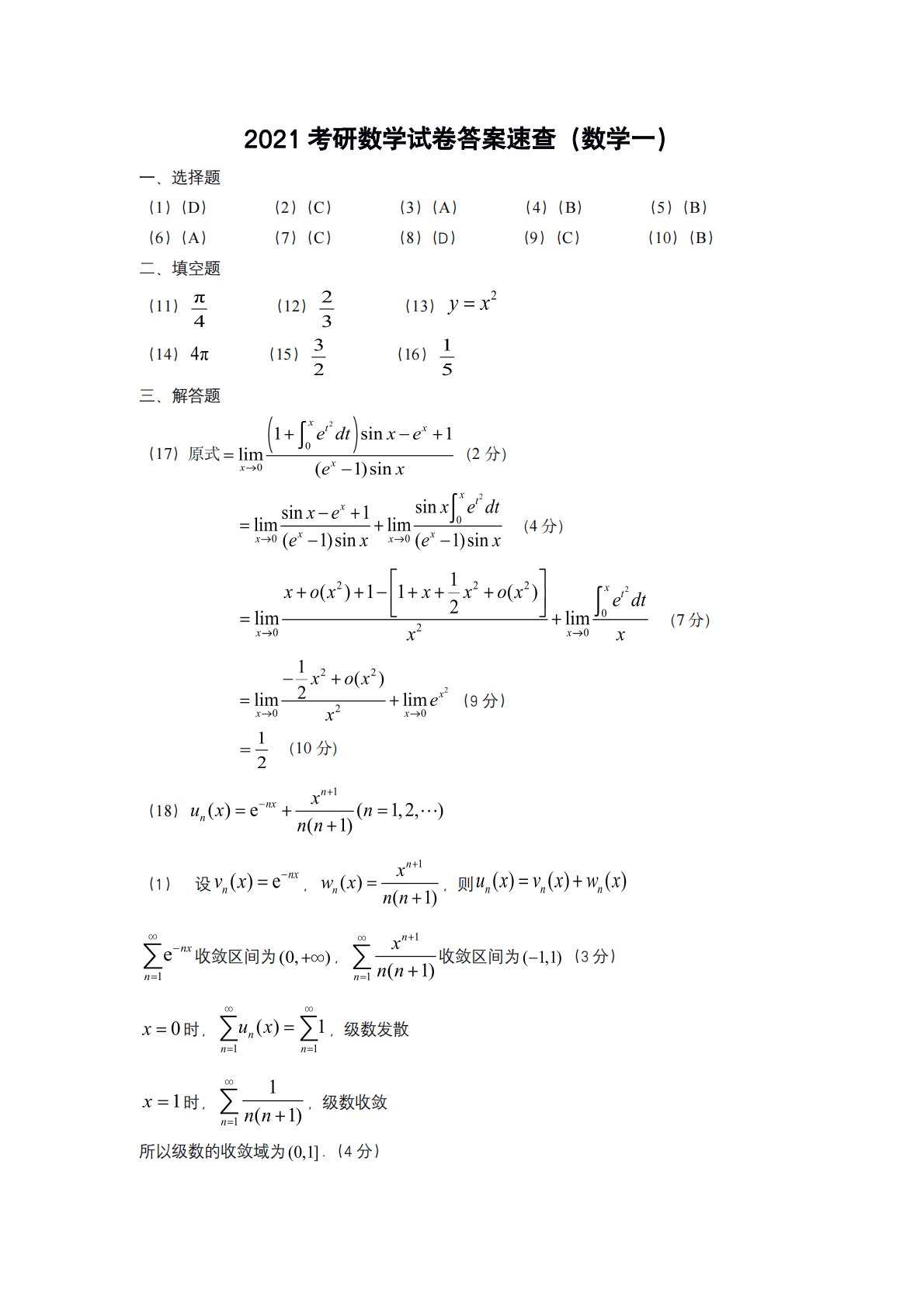
2021考研数学试卷答案速查(数学一)一、选择题(1)(D)(2)(C)(3)(A)(4)(B)(5)(B)(6)(A)(7)(C)(8)(D)(9)(C)(10)(B)二、填空题(11)(12)(13)(14)(15)(16)三、解答题(17)原式(2分)(4分)(7分)(9分)(10分)(18)(1)设,,则收敛区间为,收敛区间为(3分)时,,级数发散时,,级数收敛所以级数的收敛域为.(4分)(2)(6分)则,因为,所以,因为,所以(9分)因此时,当时,和函数连续,所以所以,(12分)(19)根据题意,目标函数为,约束条件是以及(2分)设(6分)解得或者(10分),因此距离的最大值为(12...
相关推荐
-
北京工业大学812材料力学2021年真题VIP专享
2025-12-29 999+ -
北京工业大学812材料力学2022年真题VIP专享
2025-12-29 999+ -
北京工业大学822信息与系统2021年真题答案VIP专享
2025-12-29 999+ -
北京工业大学822信息与系统2022年真题VIP专享
2025-12-29 999+ -
兰州大学803半导体物理(含晶体管原理)大学2017年真题VIP免费
2025-12-31 999+ -
兰州大学803半导体物理(含晶体管原理)大学2018年真题VIP免费
2025-12-31 999+ -
兰州大学803半导体物理(含晶体管原理)大学2019年真题VIP免费
2025-12-31 999+ -
长安大学838材料科学基础课后习题答案VIP免费
2026-01-13 999+ -
清华大学827电路原理2009年真题免费
2026-02-26 999+ -
清华大学827电路原理2009年真题答案免费
2026-02-26 999+
相关内容
-
宁夏大学电路手写版答案
分类:考研考博类
时间:2026-02-26
标签:无
格式:PDF
价格:免费
-
清华大学827电路原理2008年真题
分类:考研考博类
时间:2026-02-26
标签:清华大学
格式:PDF
价格:免费
-
清华大学827电路原理2008年真题答案
分类:考研考博类
时间:2026-02-26
标签:清华大学
格式:PDF
价格:免费
-
清华大学827电路原理2009年真题
分类:考研考博类
时间:2026-02-26
标签:清华大学
格式:PDF
价格:免费
-
清华大学827电路原理2009年真题答案
分类:考研考博类
时间:2026-02-26
标签:清华大学
格式:PDF
价格:免费

