302数学二1987年考研初试真题解析
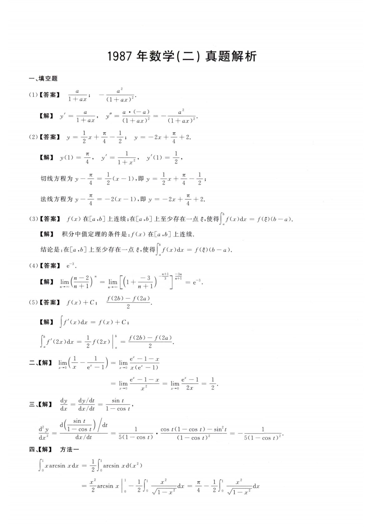
1987年数学(二)真题解析一、填空题(1)【答案】a1ax(1+ax)2(5)【答案】八工)+C;【解】J/Z(x)dj:=/(J7)+C;[八2”=*心)[=心);心).【解】“=二£—1十axa・(—a)_a2(1~hax)2(1~had:)2(2)【答案】y=—j:+----------;y=—2a:+—+2.【解】y(l)=+,“=12'“⑴=4",41十£/切线方程为y——=*(工一1),艮卩y=+------;法线方程为夕—=—2(工一1),即,=—2工+于+2.(3)【答案】fS在匕"]上连续;在[a,b]上至少存在一点&使得/(^)dz=—Ja【解】积分中值定理的条件是:/'...
相关推荐
-
北京工业大学812材料力学2021年真题VIP专享
2025-12-29 999+ -
北京工业大学812材料力学2022年真题VIP专享
2025-12-29 999+ -
北京工业大学822信息与系统2021年真题答案VIP专享
2025-12-29 999+ -
北京工业大学822信息与系统2022年真题VIP专享
2025-12-29 999+ -
兰州大学803半导体物理(含晶体管原理)大学2017年真题VIP免费
2025-12-31 999+ -
兰州大学803半导体物理(含晶体管原理)大学2018年真题VIP免费
2025-12-31 999+ -
兰州大学803半导体物理(含晶体管原理)大学2019年真题VIP免费
2025-12-31 999+ -
长安大学838材料科学基础课后习题答案VIP免费
2026-01-13 999+ -
清华大学827电路原理2009年真题免费
2026-02-26 999+ -
清华大学827电路原理2009年真题答案免费
2026-02-26 999+
相关内容
-
宁夏大学电路手写版答案
分类:考研考博类
时间:2026-02-26
标签:无
格式:PDF
价格:免费
-
清华大学827电路原理2008年真题
分类:考研考博类
时间:2026-02-26
标签:清华大学
格式:PDF
价格:免费
-
清华大学827电路原理2008年真题答案
分类:考研考博类
时间:2026-02-26
标签:清华大学
格式:PDF
价格:免费
-
清华大学827电路原理2009年真题
分类:考研考博类
时间:2026-02-26
标签:清华大学
格式:PDF
价格:免费
-
清华大学827电路原理2009年真题答案
分类:考研考博类
时间:2026-02-26
标签:清华大学
格式:PDF
价格:免费

