福州大学866信号与系统信号与系统 修正
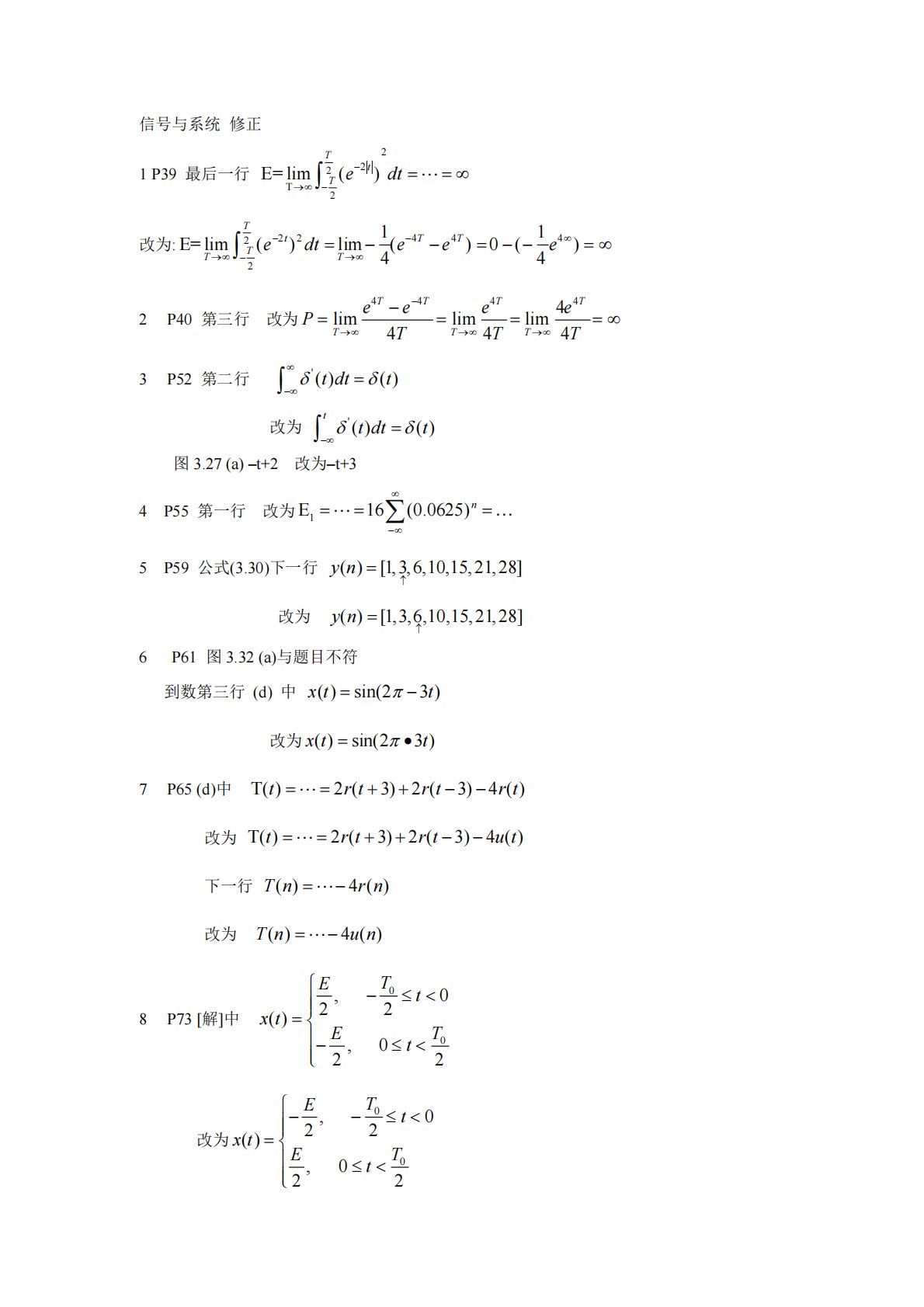
信号与系统修正1P39最后一行222T2E=lim()TtTedt改为:224442211E=lim()lim()0()44TtTTTTTedteee2P40第三行改为44444limlimlim444TTTTTTTeeeePTTT3P52第二行'()()tdtt改为'()()ttdtt图3.27(a)–t+2改为–t+34P55第一行改为1E16(0.0625)n5P59公式(3.30)下一行()[1,3,6,10,15,21,28]yn改为()[1,3,6,10,1...
相关推荐
-
华南农业大学842畜牧学概论环卫题库+答案(环境卫生)VIP专享
2026-01-07 999+ -
华南农业大学842畜牧学概论家畜环境卫生学题库(环境卫生)VIP专享
2026-01-07 999+ -
华南农业大学842畜牧学概论家畜环境卫生学重点(环境卫生)VIP专享
2026-01-07 999+ -
华南农业大学842畜牧学概论生理学复习重点1(生理)VIP专享
2026-01-07 999+ -
华南农业大学842畜牧学概论生理学复习重点2(生理)VIP专享
2026-01-07 999+ -
华南农业大学842畜牧学概论养猪学复习重点(猪)VIP专享
2026-01-07 999+ -
华南农业大学842畜牧学概论真题VIP专享
2026-01-07 999+ -
华南农业大学842畜牧学概论真题答案VIP专享
2026-01-07 999+ -
华南农业大学842畜牧学概论2023真题答案VIP专享
2026-01-07 999+ -
华南农业大学842畜牧学概论2024考研842专业课真题VIP专享
2026-01-07 999+
相关内容
-
华南农业大学842畜牧学概论养猪学复习重点(猪)
分类:考研考博类
时间:2026-01-07
标签:无
格式:PDF
价格:3 知币
-
华南农业大学842畜牧学概论真题
分类:考研考博类
时间:2026-01-07
标签:真题
格式:DOCX
价格:3 知币
-
华南农业大学842畜牧学概论真题答案
分类:考研考博类
时间:2026-01-07
标签:真题
格式:DOCX
价格:3 知币
-
华南农业大学842畜牧学概论2023真题答案
分类:考研考博类
时间:2026-01-07
标签:真题
格式:DOCX
价格:4.9 知币
-
华南农业大学842畜牧学概论2024考研842专业课真题
分类:考研考博类
时间:2026-01-07
标签:真题
格式:DOCX
价格:4.9 知币

