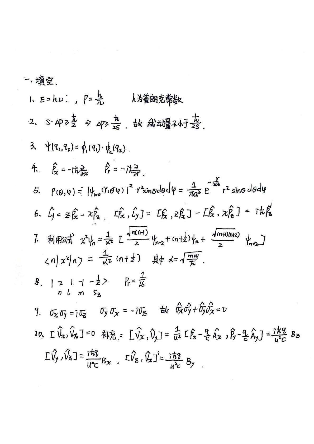
湖南师范大学725量子力学2019年考研真题
二、简答1、物质波:即函数为概率波,它的模方指空间中某点某时刻可能出现的几率密度,其中概率密度的大小受波动规律的支配。2、简并度:由其能量确定的同一能级状态,可以有多个与之对应的波函数。3、波函数假设:微观物理系统的状态由一个波函数完全描述。量子态演化假设:量子系统的状态随时间的演化满足薛定鄂方程。算符假设:量子力学中的可观测量由厄米算符来表示。测量假设:若算符F为量子力学中的一个力学量,其正交归一化本征函数为,对应的本征值为,则任一量子态可表示为Cnn。粒子全同性假设:在量子系统中,存在内禀属性完全相同的粒子,对任意两个这样的粒子进行交换,不会改变系统的状态。4、测不准原理可能同时知...
相关推荐
-
北京工业大学812材料力学2021年真题VIP专享
2025-12-29 999+ -
北京工业大学812材料力学2022年真题VIP专享
2025-12-29 999+ -
北京工业大学822信息与系统2021年真题答案VIP专享
2025-12-29 999+ -
北京工业大学822信息与系统2022年真题VIP专享
2025-12-29 999+ -
湘潭大学834电子技术基础2024年考试大纲
2026-01-16 999+ -
延安大学813数据结构2023年真题
2026-01-16 999+ -
延安大学813数据结构2023年真题答案
2026-01-16 999+ -
延安大学813数据结构2024年真题答案
2026-01-16 999+ -
西北师范大学956软件工程与数据库原理综合(复试)2018年真题回忆版
2026-01-16 999+ -
西南石油大学925计算机学科综合(数据结构+操作系统)2009年真题
2026-01-16 999+
相关内容
-
延安大学813数据结构2023年真题
分类:考研考博类
时间:2026-01-16
标签:真题
格式:PDF
价格:4.9 知币
-
延安大学813数据结构2023年真题答案
分类:考研考博类
时间:2026-01-16
标签:真题
格式:PDF
价格:4.9 知币
-
延安大学813数据结构2024年真题答案
分类:考研考博类
时间:2026-01-16
标签:真题
格式:PDF
价格:4.9 知币
-
西北师范大学956软件工程与数据库原理综合(复试)2018年真题回忆版
分类:考研考博类
时间:2026-01-16
标签:2018
格式:PDF
价格:免费
-
西南石油大学925计算机学科综合(数据结构+操作系统)2009年真题
分类:考研考博类
时间:2026-01-16
标签:真题
格式:PDF
价格:免费

