302数学二1990年考研初试真题解析
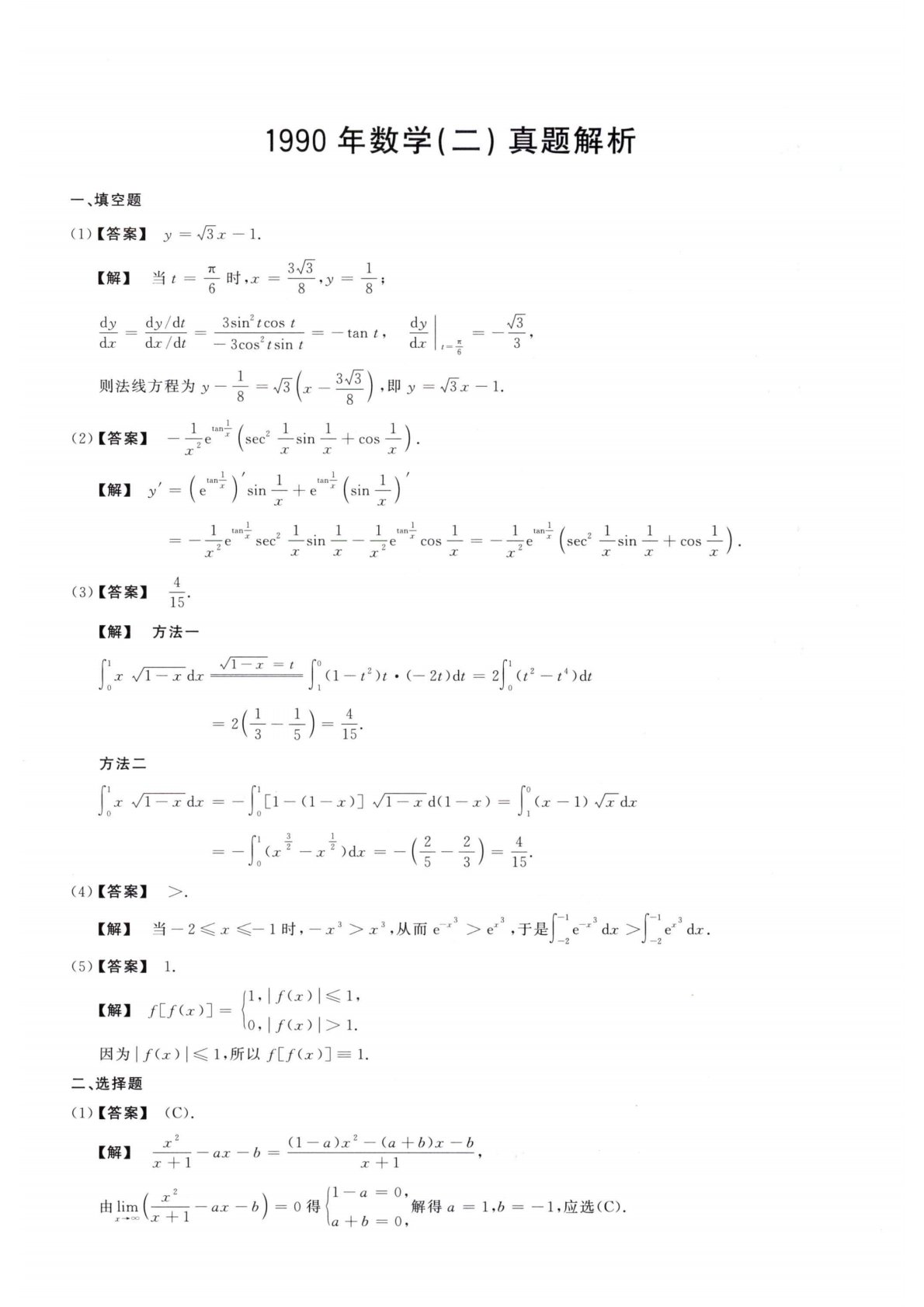
1990年数学(二)真题解析一、填空题(1)【答案】y=t—1.【解】当£=罟时,工=9y=+1,|/(x)丨W1,0,|/(^)|>1.因为|fQ)|W1,所以兀fQ)]三1.二、选择题d;ydy/dt3sin2^cost~r~=―t~t=----------o—:-----=_tant,cLrdx/dt—3cosZsintV3T血Idz|,=4(2)【答案】11tan—x-------e2匸Xsec则法线方程为y----—o3C,即y=扼工—1.丿丄Sin±+cos±).XXXf【解】夕1tan—xesin—+e1"7(sin丄)xVxfx(3)【答案】-^e'^sec2丄sin丄一XTX...
相关推荐
-
北京工业大学812材料力学2021年真题VIP专享
2025-12-29 999+ -
北京工业大学812材料力学2022年真题VIP专享
2025-12-29 999+ -
北京工业大学822信息与系统2021年真题答案VIP专享
2025-12-29 999+ -
北京工业大学822信息与系统2022年真题VIP专享
2025-12-29 999+ -
兰州大学803半导体物理(含晶体管原理)大学2017年真题VIP免费
2025-12-31 999+ -
兰州大学803半导体物理(含晶体管原理)大学2018年真题VIP免费
2025-12-31 999+ -
兰州大学803半导体物理(含晶体管原理)大学2019年真题VIP免费
2025-12-31 999+ -
长安大学838材料科学基础课后习题答案VIP免费
2026-01-13 999+ -
清华大学827电路原理2009年真题免费
2026-02-26 999+ -
清华大学827电路原理2009年真题答案免费
2026-02-26 999+
相关内容
-
宁夏大学电路手写版答案
分类:考研考博类
时间:2026-02-26
标签:无
格式:PDF
价格:免费
-
清华大学827电路原理2008年真题
分类:考研考博类
时间:2026-02-26
标签:清华大学
格式:PDF
价格:免费
-
清华大学827电路原理2008年真题答案
分类:考研考博类
时间:2026-02-26
标签:清华大学
格式:PDF
价格:免费
-
清华大学827电路原理2009年真题
分类:考研考博类
时间:2026-02-26
标签:清华大学
格式:PDF
价格:免费
-
清华大学827电路原理2009年真题答案
分类:考研考博类
时间:2026-02-26
标签:清华大学
格式:PDF
价格:免费

