302数学二1991年考研初试真题解析
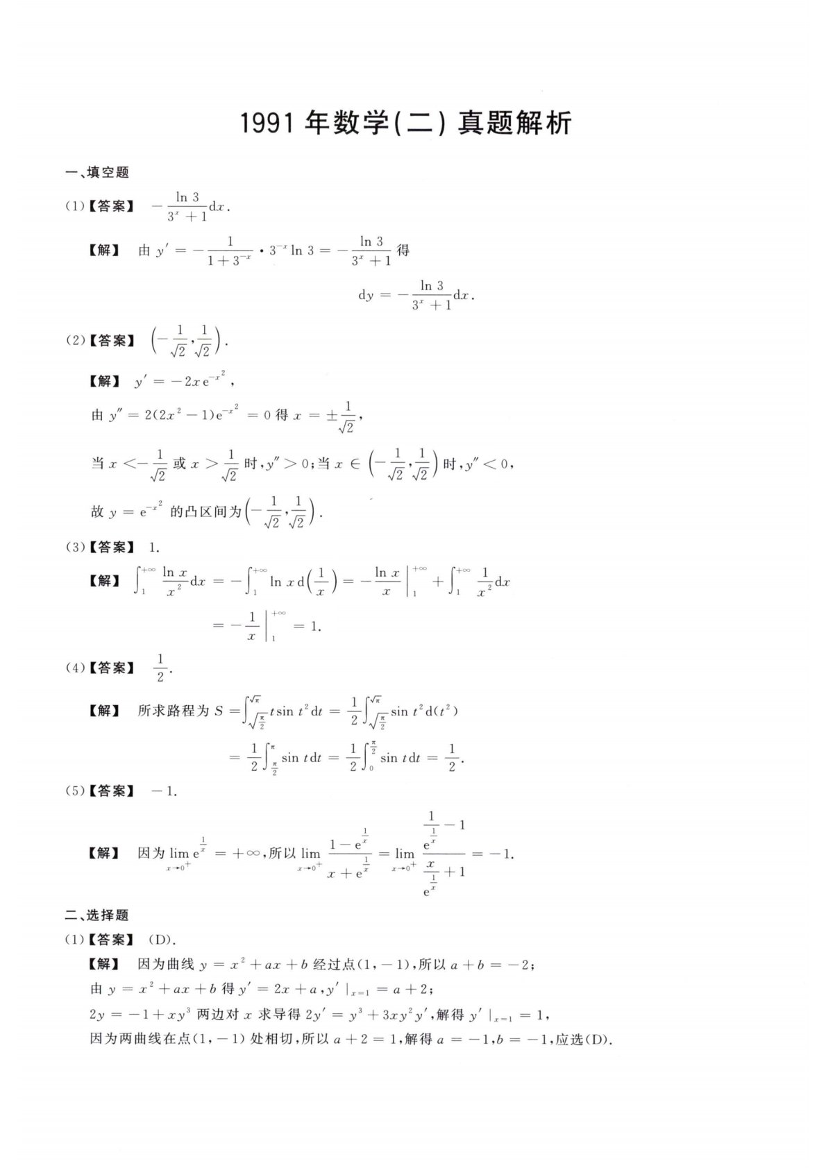
1991年数学(二)真题解析一、填空题(1)【答案】一丿咯山.3=+1【解】由“=•3—Tn3=—-得1+3x3J+1,2【解】y=—2xe~x,21由yr=2(2/—1)e~x=0得工=±—,1逅当xV—或乂〉丄时,y〉o;当工gV22故y=的凸区间为(3)【答案】1.【解】•+°°Inx.cLz1JCInx+8+1*+°°—ydj?JCX1(4)【答案】y.【解】所求路程为S=/—Esint2dt■V7sinZ2d(^2)(5)【答案】-1.【解】~2nsintdt7t/osintAt=T-丄因为limex=+°°,所以lim■r—o+工一。+11-e7F丄7j?+e丄一1丄丄lim———...
相关推荐
-
北京工业大学812材料力学2021年真题VIP专享
2025-12-29 999+ -
北京工业大学812材料力学2022年真题VIP专享
2025-12-29 999+ -
北京工业大学822信息与系统2021年真题答案VIP专享
2025-12-29 999+ -
北京工业大学822信息与系统2022年真题VIP专享
2025-12-29 999+ -
兰州大学803半导体物理(含晶体管原理)大学2017年真题VIP免费
2025-12-31 999+ -
兰州大学803半导体物理(含晶体管原理)大学2018年真题VIP免费
2025-12-31 999+ -
兰州大学803半导体物理(含晶体管原理)大学2019年真题VIP免费
2025-12-31 999+ -
长安大学838材料科学基础课后习题答案VIP免费
2026-01-13 999+ -
清华大学827电路原理2009年真题免费
2026-02-26 999+ -
清华大学827电路原理2009年真题答案免费
2026-02-26 999+
相关内容
-
宁夏大学电路手写版答案
分类:考研考博类
时间:2026-02-26
标签:无
格式:PDF
价格:免费
-
清华大学827电路原理2008年真题
分类:考研考博类
时间:2026-02-26
标签:清华大学
格式:PDF
价格:免费
-
清华大学827电路原理2008年真题答案
分类:考研考博类
时间:2026-02-26
标签:清华大学
格式:PDF
价格:免费
-
清华大学827电路原理2009年真题
分类:考研考博类
时间:2026-02-26
标签:清华大学
格式:PDF
价格:免费
-
清华大学827电路原理2009年真题答案
分类:考研考博类
时间:2026-02-26
标签:清华大学
格式:PDF
价格:免费

