302数学二1993年考研初试真题解析
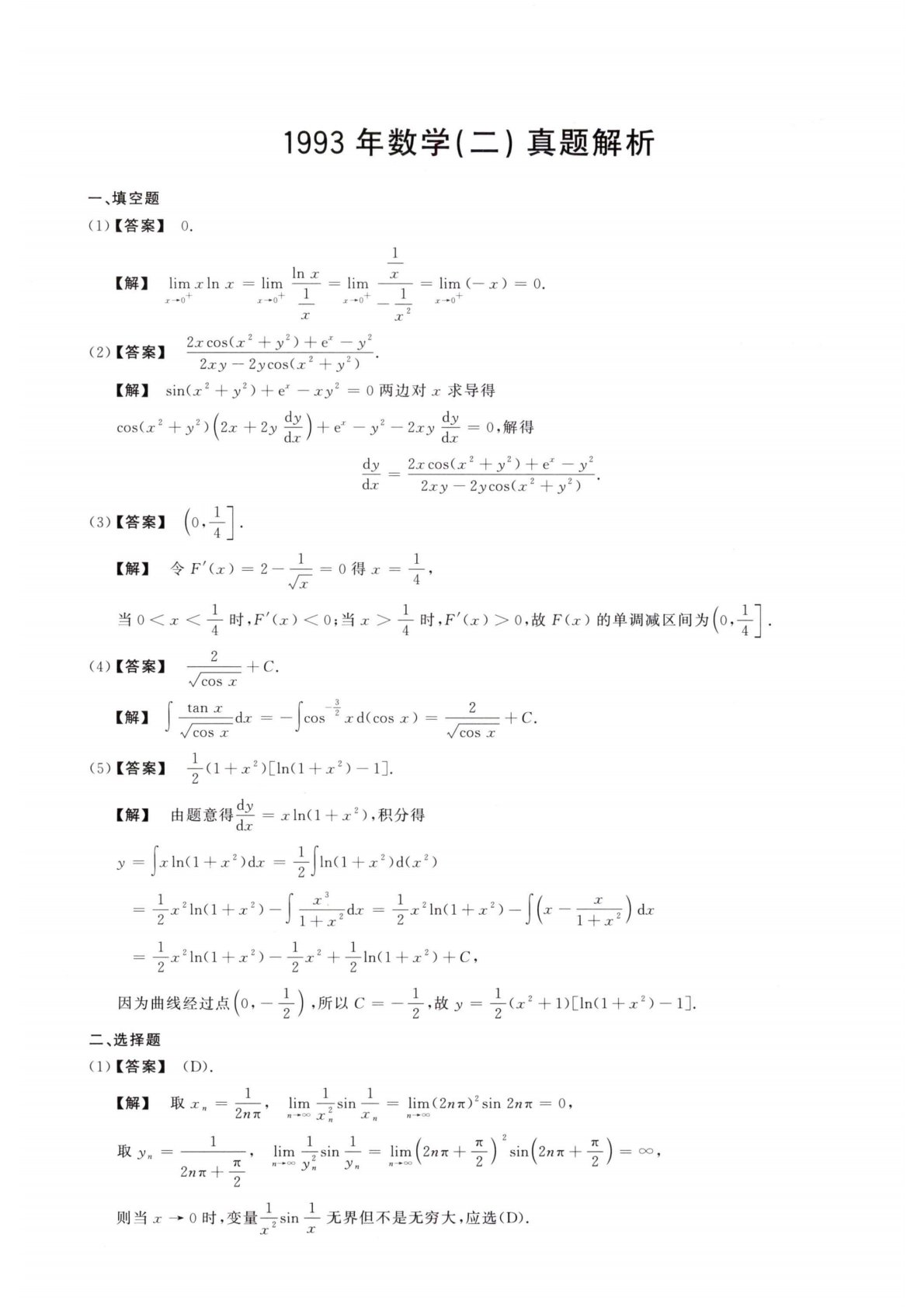
一、填空题(1)【答案】0.【解】limjcInz-*o+cos(1993年数学(二)真题解析InXXlim—-—=lim-----=lim(—g)=0.r-*°+___工->。+_____z-*■()+zx22I2xix2十y丿十e—y(2)【答案】oo/2i2、・2xy—2j/cos(h"+jy)【解】sin(jr2+3/2)+eJ—xy2=0两边对x求导得cos(j:2+/)(2无+2y譽)dyd72xy字=0,解得ax2jccos(j:2+3/2)+eJ—y2一2j/cos(j:2+J/')(3)【答案】【解】令F'Q)=2—Jz=0得工当0时,F'Q)<0;当工>+时,F'Q)>0,...
相关推荐
-
北京工业大学812材料力学2021年真题VIP专享
2025-12-29 999+ -
北京工业大学812材料力学2022年真题VIP专享
2025-12-29 999+ -
北京工业大学822信息与系统2021年真题答案VIP专享
2025-12-29 999+ -
北京工业大学822信息与系统2022年真题VIP专享
2025-12-29 999+ -
兰州大学803半导体物理(含晶体管原理)大学2017年真题VIP免费
2025-12-31 999+ -
兰州大学803半导体物理(含晶体管原理)大学2018年真题VIP免费
2025-12-31 999+ -
兰州大学803半导体物理(含晶体管原理)大学2019年真题VIP免费
2025-12-31 999+ -
长安大学838材料科学基础课后习题答案VIP免费
2026-01-13 999+ -
清华大学827电路原理2009年真题免费
2026-02-26 999+ -
清华大学827电路原理2009年真题答案免费
2026-02-26 999+
相关内容
-
宁夏大学电路手写版答案
分类:考研考博类
时间:2026-02-26
标签:无
格式:PDF
价格:免费
-
清华大学827电路原理2008年真题
分类:考研考博类
时间:2026-02-26
标签:清华大学
格式:PDF
价格:免费
-
清华大学827电路原理2008年真题答案
分类:考研考博类
时间:2026-02-26
标签:清华大学
格式:PDF
价格:免费
-
清华大学827电路原理2009年真题
分类:考研考博类
时间:2026-02-26
标签:清华大学
格式:PDF
价格:免费
-
清华大学827电路原理2009年真题答案
分类:考研考博类
时间:2026-02-26
标签:清华大学
格式:PDF
价格:免费

