302数学二2013年考研初试真题解析
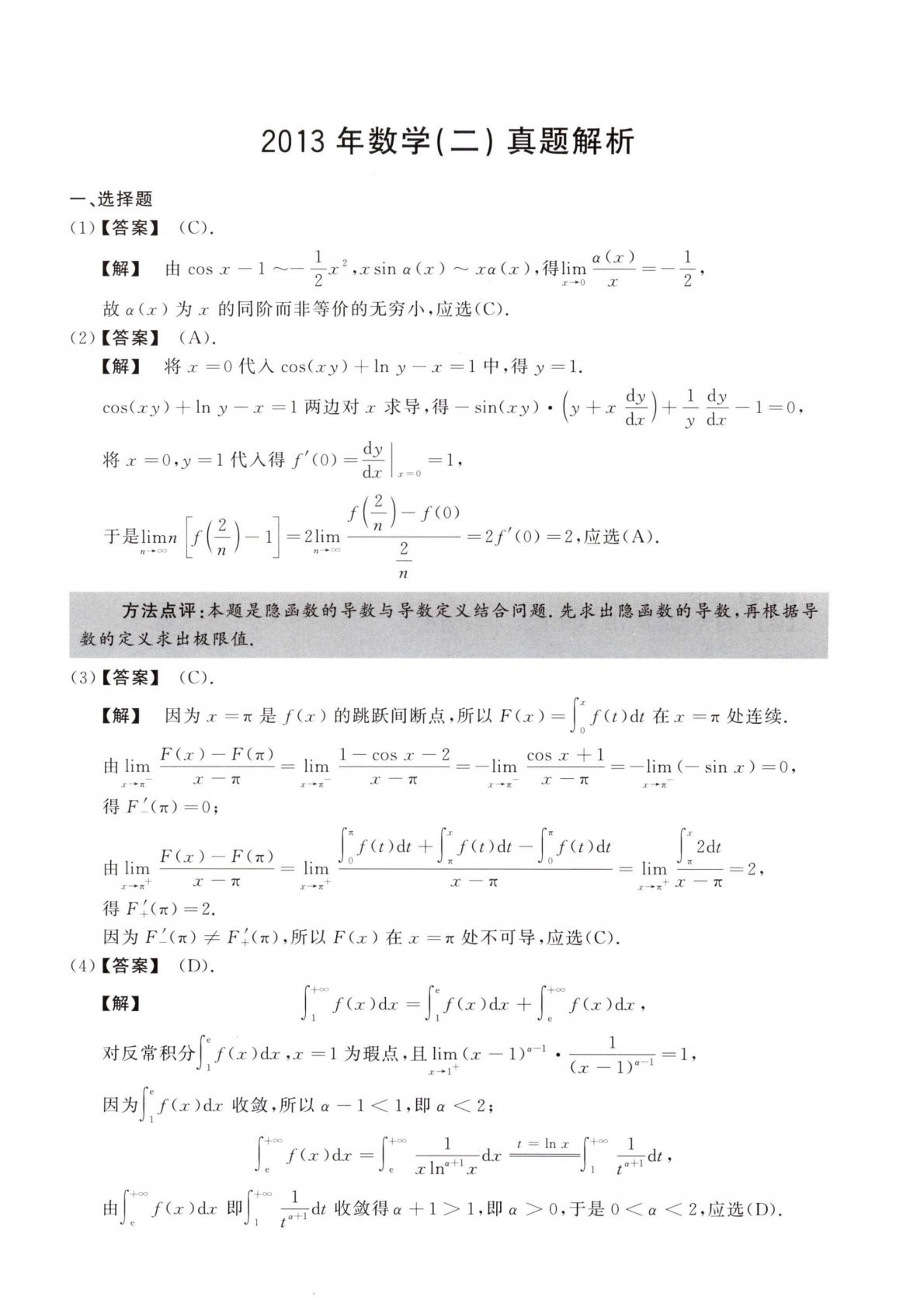
2013年数学(二)真题解析一、选择题(1)【答案】(C).【解】由cosX-1〜-討,xsina(工)〜xa(工),得lim巴-'于'X—ox丄故aQ)为工的同阶而非等价的无穷小,应选(C).⑵【答案】(A).【解】将工=0代入cosQy)+y—x=1中,得y=l.cosQy)+In一x=1两边对z求导,得一sinCjrj/)嬰—1=0,譽)+*将工=0,夕=1代入得=字I=1,d_zIx=o/(7)-/(0),、=21im-------------------=2/(0)=2,应选(人).n-*°°Zn方法点评:本题是隐函数的导数与导数定义结合问题.先求出隐函数的导数,再根据导数的定义求出...
相关推荐
-
北京工业大学812材料力学2021年真题VIP专享
2025-12-29 999+ -
北京工业大学812材料力学2022年真题VIP专享
2025-12-29 999+ -
北京工业大学822信息与系统2021年真题答案VIP专享
2025-12-29 999+ -
北京工业大学822信息与系统2022年真题VIP专享
2025-12-29 999+ -
兰州大学803半导体物理(含晶体管原理)大学2017年真题VIP免费
2025-12-31 999+ -
兰州大学803半导体物理(含晶体管原理)大学2018年真题VIP免费
2025-12-31 999+ -
兰州大学803半导体物理(含晶体管原理)大学2019年真题VIP免费
2025-12-31 999+ -
长安大学838材料科学基础课后习题答案VIP免费
2026-01-13 999+ -
清华大学827电路原理2009年真题免费
2026-02-26 999+ -
清华大学827电路原理2009年真题答案免费
2026-02-26 999+
相关内容
-
宁夏大学电路手写版答案
分类:考研考博类
时间:2026-02-26
标签:无
格式:PDF
价格:免费
-
清华大学827电路原理2008年真题
分类:考研考博类
时间:2026-02-26
标签:清华大学
格式:PDF
价格:免费
-
清华大学827电路原理2008年真题答案
分类:考研考博类
时间:2026-02-26
标签:清华大学
格式:PDF
价格:免费
-
清华大学827电路原理2009年真题
分类:考研考博类
时间:2026-02-26
标签:清华大学
格式:PDF
价格:免费
-
清华大学827电路原理2009年真题答案
分类:考研考博类
时间:2026-02-26
标签:清华大学
格式:PDF
价格:免费

