303数学三1999年考研初试真题解析
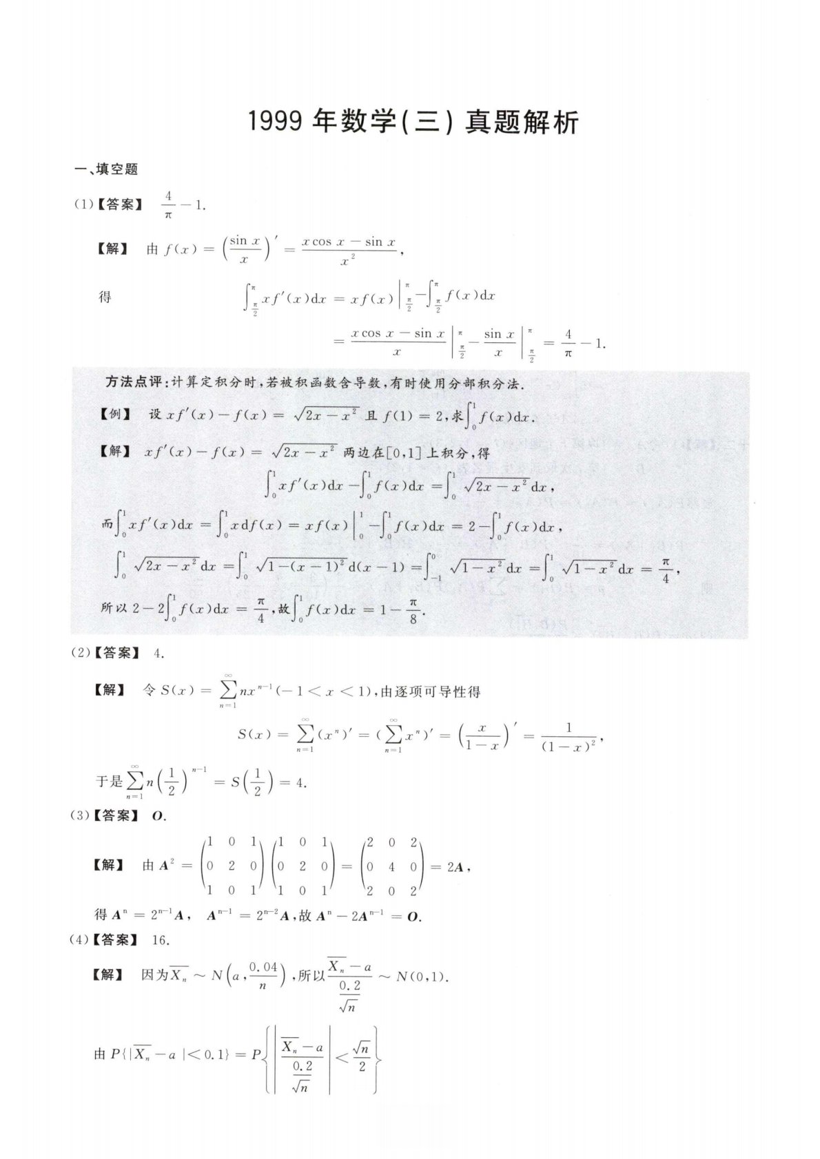
1999年数学(三)真题解析一、填空题(1)【答案】—-1.【解】由/(z)xcosx—sinjcx2得J”工十(工)dr=jcf{x)I守—_zcos工一sin工卜sin工I"_4方法点评:计算定积分时,若被积函数含导数,有时使用分部积分法.【例】设—/(攵)=%/2rr—x2且/(I)=2,求[/(无)dr・【解】jcf\jc)—/(□;)=(2工一芒两边在[0,1]上积分,得[—[/(jT)drc=|—x2dx,JoJoJ0而£x/z(j?)dx=[严甘(工)=jcf(x)L—J/Q)dz=2—『y(z)dz,[J2工一x1dx=[/—Q—I)'d(_r—1)=[s/1—t2dx=「%/...
相关推荐
-
北京工业大学812材料力学2021年真题VIP专享
2025-12-29 999+ -
北京工业大学812材料力学2022年真题VIP专享
2025-12-29 999+ -
北京工业大学822信息与系统2021年真题答案VIP专享
2025-12-29 999+ -
北京工业大学822信息与系统2022年真题VIP专享
2025-12-29 999+ -
兰州大学803半导体物理(含晶体管原理)大学2017年真题VIP免费
2025-12-31 999+ -
兰州大学803半导体物理(含晶体管原理)大学2018年真题VIP免费
2025-12-31 999+ -
兰州大学803半导体物理(含晶体管原理)大学2019年真题VIP免费
2025-12-31 999+ -
长安大学838材料科学基础课后习题答案VIP免费
2026-01-13 999+ -
清华大学827电路原理2009年真题免费
2026-02-26 999+ -
清华大学827电路原理2009年真题答案免费
2026-02-26 999+
相关内容
-
宁夏大学电路手写版答案
分类:考研考博类
时间:2026-02-26
标签:无
格式:PDF
价格:免费
-
清华大学827电路原理2008年真题
分类:考研考博类
时间:2026-02-26
标签:清华大学
格式:PDF
价格:免费
-
清华大学827电路原理2008年真题答案
分类:考研考博类
时间:2026-02-26
标签:清华大学
格式:PDF
价格:免费
-
清华大学827电路原理2009年真题
分类:考研考博类
时间:2026-02-26
标签:清华大学
格式:PDF
价格:免费
-
清华大学827电路原理2009年真题答案
分类:考研考博类
时间:2026-02-26
标签:清华大学
格式:PDF
价格:免费

