303数学三2006年考研初试真题解析
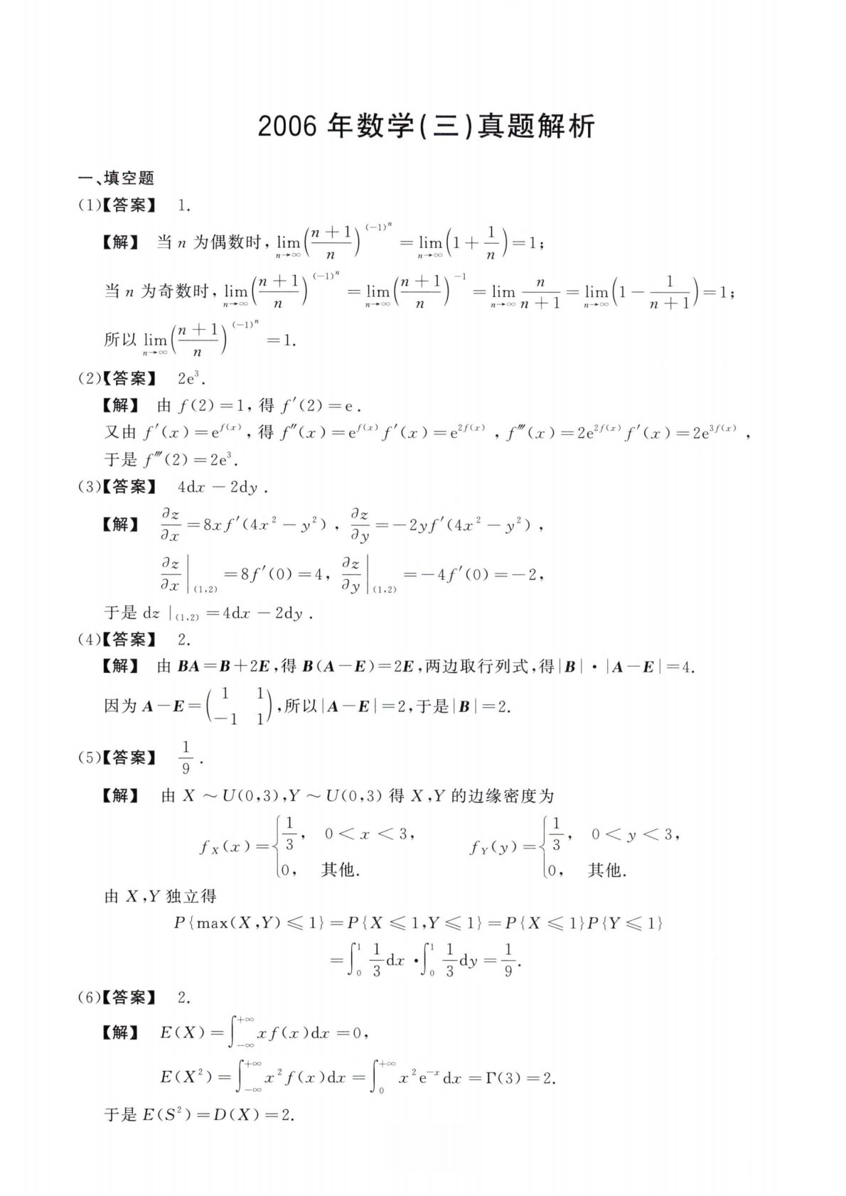
2006年数学(三)真题解析一、填空题(1)【答案】1.【解】当九为偶数时,lim十1)=lim(l+丄)=1;“foo\7?/n-*oo\H/当九为奇数日寸,lim=lim(九+】)=]im:=lim(1------)=1;“f8\72/”-*8\/“f87?1n-*00\72~H1/所以lim(匕巴=1.n-*oo\Yl)(2)【答案】2e3.【解】由/(2)—1,得(2)=e.又由f(x)=efM,得y〃Q)=/小十(工)=e"s,f〃(工)=2『心f(工)=2e"®,于是/'〃(2)=2e3.(3)【答案】4dj?一2dy・【解】z—=f/(4.r2—v2).—=—2yf/(4j:2—...
相关推荐
-
北京工业大学812材料力学2021年真题VIP专享
2025-12-29 999+ -
北京工业大学812材料力学2022年真题VIP专享
2025-12-29 999+ -
北京工业大学822信息与系统2021年真题答案VIP专享
2025-12-29 999+ -
北京工业大学822信息与系统2022年真题VIP专享
2025-12-29 999+ -
兰州大学803半导体物理(含晶体管原理)大学2017年真题VIP免费
2025-12-31 999+ -
兰州大学803半导体物理(含晶体管原理)大学2018年真题VIP免费
2025-12-31 999+ -
兰州大学803半导体物理(含晶体管原理)大学2019年真题VIP免费
2025-12-31 999+ -
长安大学838材料科学基础课后习题答案VIP免费
2026-01-13 999+ -
清华大学827电路原理2009年真题免费
2026-02-26 999+ -
清华大学827电路原理2009年真题答案免费
2026-02-26 999+
相关内容
-
宁夏大学电路手写版答案
分类:考研考博类
时间:2026-02-26
标签:无
格式:PDF
价格:免费
-
清华大学827电路原理2008年真题
分类:考研考博类
时间:2026-02-26
标签:清华大学
格式:PDF
价格:免费
-
清华大学827电路原理2008年真题答案
分类:考研考博类
时间:2026-02-26
标签:清华大学
格式:PDF
价格:免费
-
清华大学827电路原理2009年真题
分类:考研考博类
时间:2026-02-26
标签:清华大学
格式:PDF
价格:免费
-
清华大学827电路原理2009年真题答案
分类:考研考博类
时间:2026-02-26
标签:清华大学
格式:PDF
价格:免费

